Sumber: https://mafia.mafiaol.com/2014/06/cara-merasionalkan-pecahan-bentuk-akar.html
Cara Merasionalkan Pecahan Bentuk Akar

Untuk lebih jelasnya, pelajari uraian berikut.
Merasionalkan
Bentuk a/√b
Cara merasionalkan bentuk a/√b adalah dengan
mengalikan pembilang dan penyebut pecahan tersebut dengan bentuk sekawan dari
penyebutnya, yaitu:

Untuk memantapkan pemahaman Anda tentang cara merasionalkan
bentuk a/√b, silahkan simak contoh soal 1 di bawah ini.
Contoh
Soal 1
Rasionalkan penyebut pecahan-pecahan berikut, kemudian
sederhanakanlah
a. 6/√2
b. 10/√5
c. 21/√3
d. 5/√5
Penyelesaian:
a. 6/√2
= (6/√2).√2/√2
=> 6/√2 = (6√2)/(√2.√2)
=> 6/√2 = (6√2)/2
=> 6/√2 = 3√2
b. 10/√5
= (10/√5).(√5/√5)
=> 10/√5 = (10√5)/(√5.√5)
=> 10/√5 = (10√5)/5
=> 10/√5 = 2√5
c. 21/√3
= (21/√3).(√3/√3)
=> 21/√3 = (21√3)/(√3.√3)
=> 21/√3 = (21√3)/3
=> 21/√3 = 7√3)
d. 5/√5
= (5/√5).(√5/√5)
=> 5/√5 = (5√5)/(√5.√5)
=> 5/√5 = (5√5)/5
=> 5/√5 = √5
Merasionalkan
Bentuk a/(b±√c)
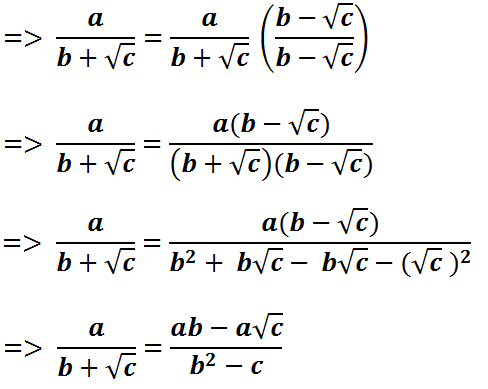
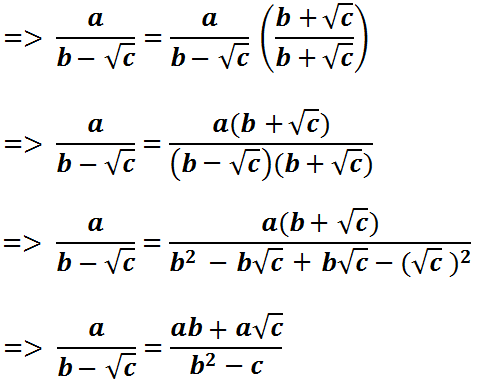
Cara merasionalkan bentuk a/(b±√c)adalah dengan mengalikan pembilang dan
penyebut pecahan tersebut dengan bentuk sekawan dari penyebut b±√c. Bentuk
sekawan dari b + √c adalah b – √c , sedangkan bentuk sekawan dari b – √c adalah
b + √c. Berikut penjelasanya masing-masing. Untuk merasionalkan bentuk a/(b+√c),
yakni:

Untuk merasionalkan bentuk a/(b – √c), yakni:

Untuk memantapkan pemahaman Anda tentang cara merasionalkan
bentuk a/(b±√c), silahkan simak contoh soal 2 di bawah ini.
Contoh
Soal 2
Rasionalkan penyebut pecahan-pecahan berikut, kemudian
sederhanakanlah
a. 4/(2 + √2)
b. 3/(3 – √5)
c. 4/(4 + √3)
d. 2/(3 – √7)
Iklan
Penyelesaian:
a. 4/(2
+ √2)
= {4/(2 + √2)}.{(2 – √2)/(2 – √2)}
= {4(2 – √2)}/{2 + √2).(2 – √2)}
= (8 – 4√2)/(4 – 2)
= (8 – 4√2)/2
= 4 – 2√2
b. 2/(2
– √3) = {2/(2 – √3)}.{(2 + √3)/(2 + √3)}
= {2(2 + √3)}/{(2 – √3).(2 + √3)}
= (4 + 2√3)/(4 – 3)
= 4 + 2√3
c. 4/(2
+ √5) = {4/(2 + √5)}.{(2 – √5)/(2 – √5)}
= {4(2 – √5)}/{(2 + √5).(2 – √5)}
= 8 – 4√5)/(4 – 5)
= 8 – 4√5)/– 1
= 4√5 – 8
d. 4/(3
– √5) = {4/(3 – √5)}.{(3 + √5)/(3 + √5)}
= {4.(3
+ √5)}/{(3 + √5)(3 – √5)}
= (12 + 4√5)/(9 – 5)
= (12 + 4√5)/4
= 3 + √5
Merasionalkan
Bentuk a/(√b±√c)

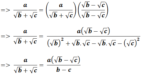
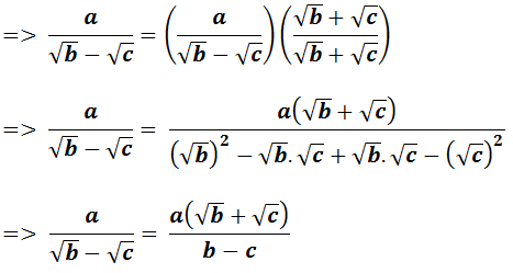
Cara merasionalkan bentuk a/(√b±√c)adalah dengan mengalikan pembilang dan
penyebut pecahan tersebut dengan bentuk sekawan dari penyebut √b±√c. Bentuk
sekawan dari √b + √c adalah √b – √c , sedangkan bentuk sekawan dari √b – √c
adalah √b + √c. Berikut penjelasanya masing-masing. Untuk merasionalkan bentuk a/(√b+√c),
yakni:

Untuk merasionalkan bentuk a/(√b – √c), yakni:
Untuk memantapkan pemahaman Anda tentang cara merasionalkan
bentuk a/(√b±√c), silahkan simak contoh soal 3 di bawah ini.
Contoh
Soal 3
Rasionalkan penyebut pecahan-pecahan berikut, kemudian
sederhanakanlah
a. 2/(√3 + √2)
b. 3/(√6 – √5)
c. 5/(√5 + √3)
d. 4/(√11 – √7)
Penyelesaian:
a. 2/(√3
+ √2)
= {2/(√3 + √2)}.{(√3 – √2)/(√3 – √2)}
= {2.(√3 – √2)}/{(√3 – √2).(√3 + √2)}
= (2√3 – 2√2)/(3 – 2)
= 2(√3 – √2)
b. 3/(√6 – √5)
= {3/(√6 – √5)}.{(√6 + √5)/(√6 + √5)
= {3(√6 + √5)}/{(√6 – √5)(√6 + √5)
= 3(√6 + √5)/(6 – 5)
= 3(√6 + √5)
c. 4/(√5 + √3)
= {4/(√5 + √3)}.{(√5 – √3)/(√5 – √3)}
= {4(√5 – √3)}/{(√5 + √3).(√5 – √3)}
= 4(√5 – √3)/(5 – 3)
= 4(√5 – √3)/2
= 2(√5 – √3)
d. 4/(√11 – √7)
= {4/(√11 – √7)}.{(√11 + √7)/(√11 + √7)
= {4(√11 + √7)}/{(√11 – √7)(√11 + √7)
= 4(√11 + √7)/(11 – 7)
= 4(√11 + √7)/4
= √11 + √7